탑골공원 인기가요가 인기가 많습니다. 복고의 새로운 탄생 뉴트로에 빠져드는 사람이 많아지고 있습니다. 그래서(?) 그런지 가끔 예전의 공무원 봉급표를 찾는 분들이 있습니다. 그래서 시간 나는대로 과거의 공무원 봉급표를 업로드 할 예정입니다. 오늘은 2016년 공무원 봉급표를 알아보도록 하겠습니다. 2016년 공무원 처우 개선율, 봉급인상율은 3%였습니다.

1. 특징
2016년 부터 성과급적 연봉제를 과장급 직위에 임용된 5급 공무원 등까지 확대되었습니다. 성과급적 연봉제 적용대상에 4급 또는 5급 복수직 정원에 해당하는 4급 일반직ㆍ별정직 공무원, 과장급 직위에 임용된 5급 일반직ㆍ별정직 공무원, 6등급 외무공무원, 총경 이상인 경찰공무원, 소방정 이상인 소방공무원 및 4급 이상인 군무원을 추가하였습니다.
2. 2016년 공무원 봉급표
▼ 대통령, 국무총리, 장관 등 봉급표
고정급적 연봉제 적용대상 공무원의 연봉표 입니다. 대통령의 연봉액은 212,018천원입니다. 국무총리는 164,366천원, 부총리 및 감사원장은 124,352천원, 장관은 120,868천원이었습니다.

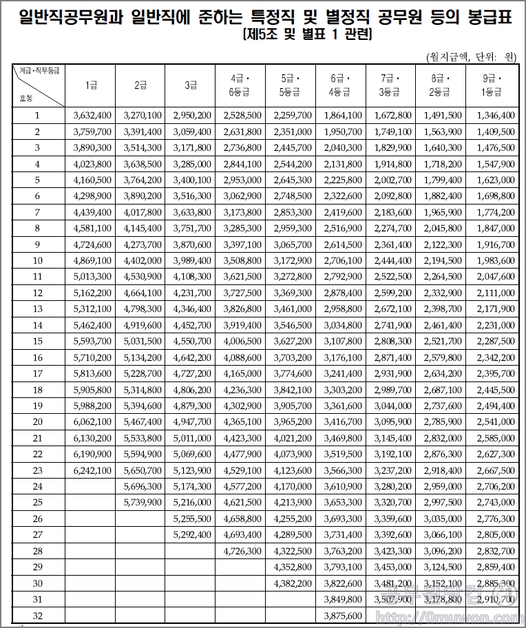
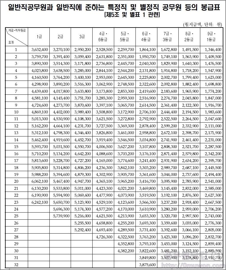
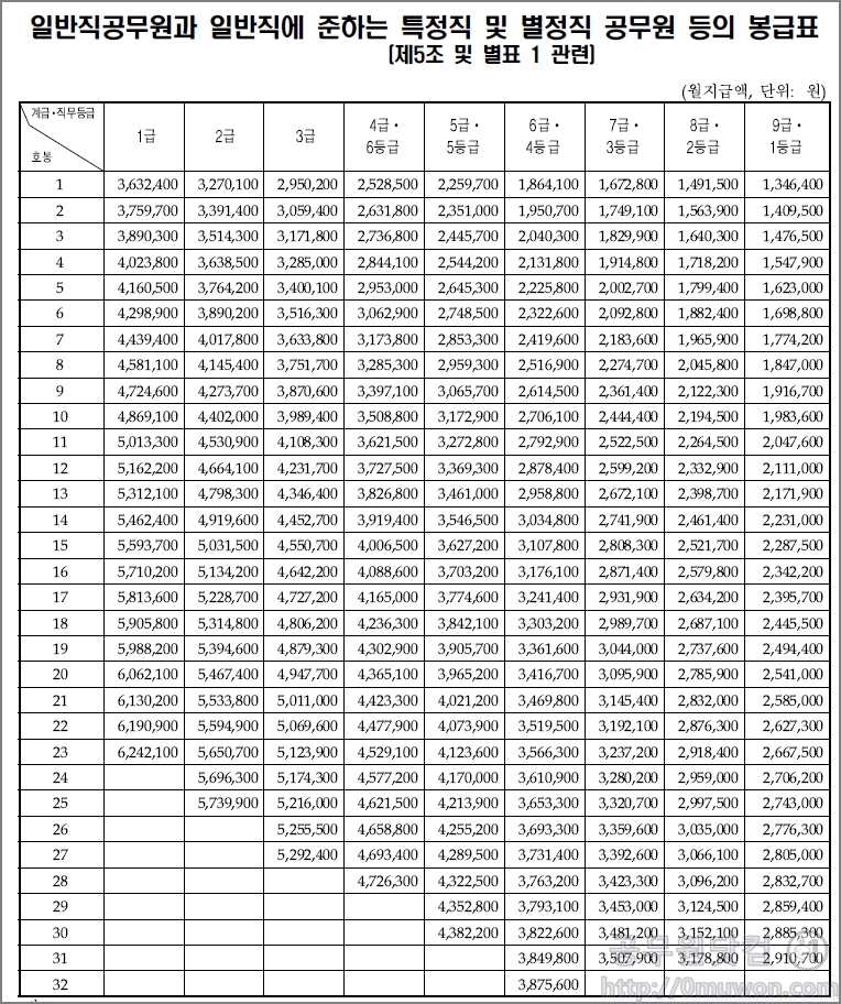
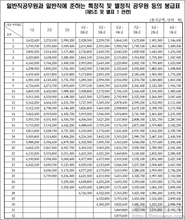
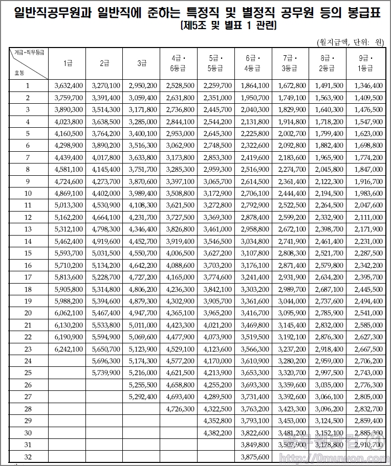
▼ 일반직 공무원 봉급표
일반직공무원과 일반직에 준하는 특정직 및 별정직 공무원 등의 봉급표입니다. 9급 1호봉은 1,346,400원이었습니다.

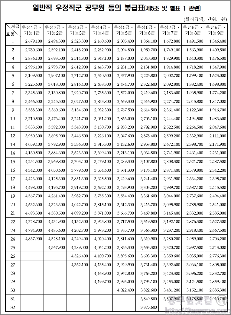
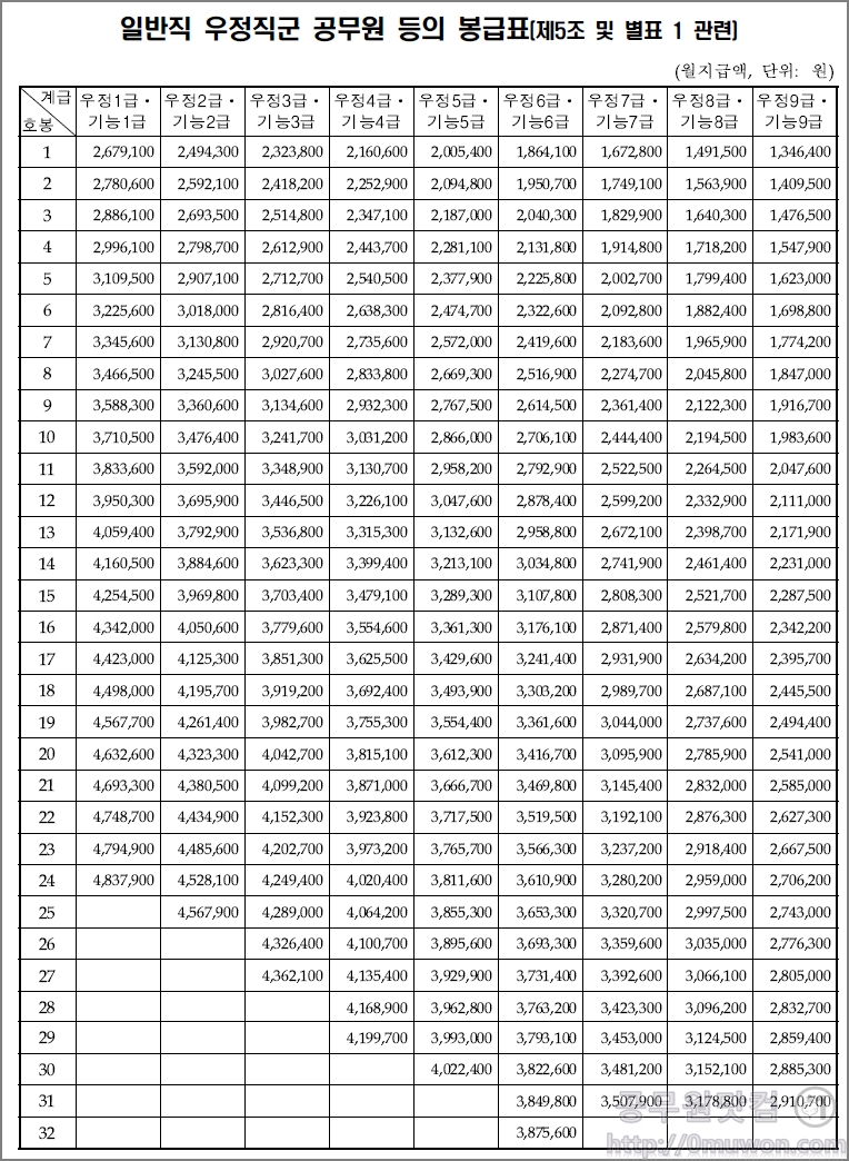
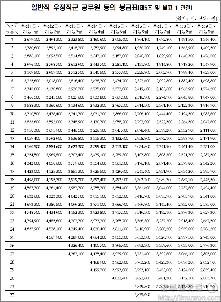
▼ 일반직 우정직군 공무원 등의 봉급표
우체국 등에서 근무하는 일반직 우정직군 공무원의 봉급표 입니다.

▼ 경찰공무원, 소방공무원 등의 봉급표
순경, 경장, 경사, 경위 등 경찰공무원과 소방사, 소방교, 소방장, 소방위 등 소방공무원의 봉급표입니다. 순경 1호봉의 봉급은 1,434,300원이었습니다.

▼ 유치원, 초등학교, 중학교, 고등학교 교원 등의 봉급표
교사, 교원 등의 봉급표입니다. 1호봉은 1,473,800원이었습니다. 다른 공무원들과는 달리 40호봉까지 있습니다.

▼ 국립대학 교원 등의 봉급표
국립대학 교원의 봉급표입니다. 33호봉까지 있으며, 1호봉은 1,870,900원입니다. 공무원 중 동일 호봉에서는 봉급이 높은 특징이 있습니다.

▼ 군인의 봉급표
하사, 중사, 상사, 소위, 중위 대위 등 군인의 봉급표 입니다. 하사 1호봉이 1,063,800원이었습니다.

2016년 공무원 봉급표를 알아보았습니다. 지나간 봉급표 이긴 합니다만, 자료 보존 등 여러의미로 작성해보았습니다.

이 글의 단축 URL 입니다. 카카오톡, 페이스북, 트위터, 네이버 등으로 공유해보세요.
https://0muwon.com/1449
공감클릭